Описание
Вакуумные насосы Busch R5 RB 0006 C/E: Оптимальная надежность и высокая производительность
Вакуумные насосы являются важным оборудованием во многих отраслях промышленности и производства. Они используются для создания и поддержания вакуума в различных процессах, таких как упаковка, обработка материалов, электроника и многое другое. Одним из наиболее надежных и эффективных типов вакуумных насосов являются пластинчато-роторные насосы.
В данной статье мы рассмотрим вакуумные насосы Busch R5 RB 0006 C/E, которые отличаются высокой производительностью и надежностью. Узнаем о их технических характеристиках, особенностях работы, преимуществах и где купить вакуумные насосы Busch, которые делают их идеальным выбором для различных промышленных приложений.
Технические характеристики
Вакуумные насосы Busch R5 RB 0006 C/E оснащены пластинчато-роторной технологией, которая обеспечивает высокую надежность и эффективность работы. Они имеют оптимальную конструкцию и использование высокоточных компонентов и материалов, что позволяет достичь высокого уровня вакуума.
Насосы оборудованы высокотехнологичным маслоотделителем, который эффективно использует масло. Модификация насоса с газобалластным клапаном позволяет отводить даже большие объемы пара. Обратный клапан на впускном фланце предотвращает возврат перекачиваемой среды в процессе вакуумирования после выключения насоса. Привод насоса осуществляется от стандартного электродвигателя класса эффективности IE3, что снижает энергопотребление.
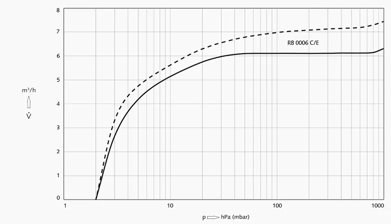
Технические данные насосов R5 RB 0006 C и R5 RB 0006 E представлены в таблице ниже:
| Технические данные | R5 RB 0006 C | R5 RB 0006 E |
|---|---|---|
| Номинальная производительность | 6 м³/ч | 6 м³/ч |
| Предельное остаточное давление | 2 hPa (mbar) | 2 hPa (mbar) |
| Номинальная мощность двигателя | 0,37 кВт | 0,37 кВт |
| Номинальная частота вращения двигателя | 3000 об/мин | 3000 об/мин |
| Уровень шума (по ISO 2151) | 59 дБ(А) | 59 дБ(А) |
| Объем масла | 0,1 л | 0,2 л |
| Вес, приблизительно | 13* кг | 13* кг |
| Размеры (Д x Ш x В) | 325 x 165 x 165* мм | 346 x 165 x 165* мм |
| Впуск газа | G ¼" | G ¼" |
*Значения могут незначительно отличаться в зависимости от модификации электродвигателя.
Преимущества и особенности
Вакуумные насосы Busch R5 RB 0006 C/E обладают рядом преимуществ и особенностей, которые делают их идеальным выбором для широкого спектра промышленных приложений.
1. Надежность и долговечность
Насосы R5 RB 0006 C/E изготовлены с использованием высококачественных компонентов и материалов, что обеспечивает их надежность и долговечность. Они способны работать в тяжелых условиях и выдерживать высокие нагрузки без потери производительности.
2. Эффективность использования масла
Высокотехнологичный маслоотделитель насосов R5 RB 0006 C/E обеспечивает эффективное использование масла, что увеличивает срок его службы и снижает затраты на обслуживание. Это особенно важно при длительной работе в условиях вакуума.
3. Высокая производительность
Насосы R5 RB 0006 C/E обладают высокой производительностью, что позволяет эффективно создавать и поддерживать вакуум в различных процессах. Номинальная производительность составляет 6 м³/ч, что обеспечивает быстрый и эффективный процесс вакуумирования.
4. Компактность и удобство в установке
Благодаря компактному дизайну и встроенному двигателю, насосы R5 RB 0006 C/E легко устанавливаются в ограниченных пространствах. Они идеально подходят для стационарных установок, таких как упаковочные машины, где пространство ограничено.
Применение ваккумных насосов R5
Вакуумные насосы Busch R5 RB широко используются в различных отраслях промышленности и производства. Некоторые из применений включают:
- Упаковка: Насосы R5 обеспечивают создание вакуума в упаковочных машинах, что позволяет длительное сохранение свежести и качества продуктов.
- Медицина: Вакуумные насосы используются в медицинских приборах и системах, таких как стерилизаторы, анализаторы крови и др.
- Электроника: Насосы R5 используются для создания вакуума в процессе производства электронных компонентов, таких как полупроводники и микросхемы.
- Обработка материалов: Вакуумные насосы используются для удаления газов и паров из материалов, что позволяет проводить различные процессы обработки, такие как сушка, отверждение и покрытие.
Если вы ищете высококачественные вакуумные насосы Busch R5 RB 0006 C/E, вы можете обратиться в компанию Налиба, которые предлагают широкий ассортимент оборудования. Сделайте правильный выбор и обеспечьте своему производству надежность и эффективность, купив вакуумный насос Busch R5 RB 0006 C/E.







